Welcome to my personal website! I'm a Dunham Jackson (postdoctoral) assistant professor in the School of Mathematics at the University of Minnesota, Twin Cities, mentored by Prof. Gregory Handy and Prof. Arnd Scheel. Before my current position, I earned my Ph.D. in Applied Mathematics at the University of British Columbia, advised by Prof. Michael J. Ward and Prof. Daniel Coombs. In my work, I'm focusing on further developing mathematical biology with nonlinear dynamics, asymptotic analysis, and (S)PDE theory. Specifically, I have been working on the emergence of spatio-temporal symmetry-breaking and synchronization in compartmental-reaction diffusion systems.
Employment
| Year | Employer | Position |
|---|---|---|
| 2024 – now | University of Minnesota, Twin Cities | Dunham Jackson Assistant Professor |
Education
| Year | University | Degree | Advisors |
|---|---|---|---|
| 2020 – 2024 | University of British Columbia | Ph.D. (Appl. Mathematics) | Prof. Michael J. Ward & Prof. Daniel Coombs |
| 2017 – 2019 | Technical University of Munich | M.Sc. (Mathematics) | Prof. Mary Silber & Prof. Christian Kühn |
| 2013 – 2017 | University of Bayreuth | B.Sc. (Technomathematics) | Prof. Anton Schiela |
Further Research & Work Experience
Here is a selection of figures to my research. For the corresponding developed theory, please go to the tab Publications. The figures for the 1-D domain were created with Julia, the steady-state figures for the 2-D domain with FlexPDE, and the oscillatory figures for the 2-D domain with our fast accurate marching scheme algorithm in Fortran and Julia. Intracellular kinetics used are FitzHugh-Nagumo, Gierer-Meinhardt, Rauch-Millonas, and Sel'kov reaction kinetics.

Symmetry-breaking in periodic 1-D domain with two compartments with FitzHugh-Nagumo kinetics. © Merlin Pelz

Convergence to symmetry-broken state in periodic 1-D domain with two compartments with Rauch-Millonas kinetics. © Merlin Pelz

Convergence to asymmetric state for which one cell is up- and two cells downregulated ("silenced") in periodic 1-D domain with cell Gierer-Meinhardt reaction kinetics. © Merlin Pelz

Bifurcation diagram showing degenerate pitchfork bubble in which stable symmetry-breaking takes place, no-flux 2-D domain with two Rauch-Millonas cells. Hysteresis occurs. © Merlin Pelz

Asymmetric steady-state in no-flux 2-D domain with two diffusion-coupled Gierer-Meinhardt cells. © Merlin Pelz

Numerical experiment: pattern formation in the no-flux 2-D domain with three big and close diffusion-coupled cells with Gierer-Meinhardt reaction kinetics. © Merlin Pelz

Convergence to stochastic attractor after stochastic bifurcation point in periodic 1-D domain with two nonlinearly randomly perturbed Rauch-Millonas cells. © Merlin Pelz

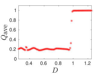
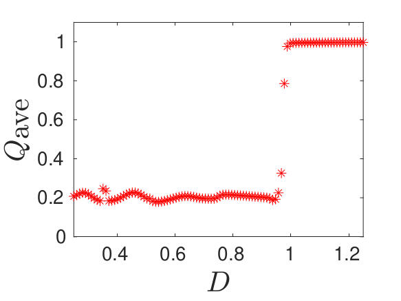
Extracellular diffusivity as bifurcation type parameter for phase transition of a Kuramoto order parameter for synchronization in system with two cells with oscillatory intracellular kinetics in ℝ² © Merlin Pelz

Synchronization of 4 equally separated cells with oscill. intracellular Sel'kov reaction kinetics in ℝ². Only cells 1 & 3 would oscillate if they were alone, but in the cell group cells 2 & 4 oscillate heavily. This is more than usual quorum sensing. ©MP
Articles
2026
Oscillations in a scalar differential equation coupled to a diffusive field by M. P. & Arnd Scheel
2025
Compartmental-reaction diffusion framework for microscale dynamics of extracellular serotonin in brain tissue
by M. P. & Skirmantas Janušonis & Gregory Handy
2024
Synchronized Memory-Dependent Intracellular Oscillations for a Cell-Bulk ODE-PDE Model in ℝ² by M. P. & Michael J. Ward
2023
Symmetry-Breaking Bifurcations for Compartmental Reaction Kinetics Coupled by Two Bulk Diffusing Species with Comparable Diffusivities in 2-D by M. P. & Michael J. Ward
The Emergence of Spatial Patterns for Compartmental Reaction Kinetics Coupled by Two Bulk Diffusing Species with Comparable Diffusivities by M. P. & Michael J. Ward
A δf PIC Method with Forward-Backward Lagrangian Reconstructions by Martin Campos Pinto & M. P. & Pierre-Henri Tournier
Talks
2025
SMB Annual Meeting: invited talk
Title: Effect of Compartmentalization: Synchronization and Symmetry-Breaking of Diffusively Coupled Cells in 2-D and 3-D
CNS*2025 Conference: invited talk
Title: Mathem. Insights into the Spatial Heterogeneity of Extracellular Serotonin Induced by the Geometry and Dynamics of Serotonergic Fibers
Joint Alabama-Florida Conference on Diff. Equations, Dynamical Systems and Applications: invited talk
Title: Symmetry-Breaking and Synchronized Memory-Dependent Oscillations in Compartmental-Reaction Diffusion Systems
SIAM DS25 Conference: contributed talk and chaired contributed session
Title: Synchronized Memory-Dependent Intracellular Oscillations in Compartmental-Reaction Diffusion Systems
NITMB Workshop on Biological Systems that Learn: poster
Title: Symmetry-Breaking in Compartmental-Reaction Diffusion Systems with Comparable Diffusivities
2024
CMS Winter Meeting: invited talks
Title 1: Synchronized Memory-Dependent Intracellular Oscillations in Compartmental-Reaction Diffusion Systems
Title 2: Symmetry-Breaking in Compartmental-Reaction Diffusion Systems with Comparable Diffusivities
CAIMS Annual Meeting: invited talk
Title: The Analysis and Simulation of Memory-Dependent Oscillations for a Cell-Bulk Model
SIAM LS24 Conference: contributed talk
Title: The Emergence of Spatial Patterns with Diffusion-Coupled Compartments with Activator-Inhibitor Kinetics in 1-D, 2-D, and 3-D
2023
SIAM PNW Conference: invited talk
Title: The Emergence of Spatial Patterns with Diffusion-Coupled Compartments with Activator-Inhibitor Kinetics in 1-D and 2-D
SMB Annual Meeting: invited talk
Title: The Emergence of Spatial Patterns with Diffusion-Coupled Compartments with Activator-Inhibitor Kinetics in 1-D and 2-D
Dynamical Systems in the Life Sciences: invited poster presentation
Title: The Emergence of Spatial Patterns with Diffusion-Coupled Compartments with Activator-Inhibitor Kinetics in 1-D and 2-D
CAIMS Annual Meeting: invited talk
Title: The Emergence of Spatial Patterns with Diffusion-Coupled Compartments with Activator-Inhibitor Kinetics in 1-D and 2-D
SIAM DS23: jumped in
Title: The Emergence of Spatial Patterns with Diffusion-Coupled Compartments with Activator-Inhibitor Kinetics in 1-D and 2-D
UBC & University of Utah Mathematical Biology Seminar
Title: The Emergence of Spatial Patterns with Diffusion-Coupled Compartments with Activator-Inhibitor Kinetics in 1-D and 2-D
| Year | Course | Number | Role |
|---|---|---|---|
| 2026 | Mathematical Analysis of Biological Networks | UMN Math 5445 | Instructor (25 students, one graduate TA) |
| 2025 | Calculus and Dynamical Systems in Biology | UMN Math 1241 | Instructor (75 students, two grad. TAs & four undergrad. TAs) |
| 2025 | Linear Algebra & Differential Equations | UMN Math 2243 | Instructor (30 students, no TA) |
| 2024 | Linear Algebra & Differential Equations | UMN Math 2243 | Instructor (30 students, online section, no TA) |
| 2023 | Calculus 2 | UBC Math 101 | Small Class Instructor (4⋅60 students per week) |
| 2022 | Differential Equations for Mechanical Engineers | UBC Math 258 | Tutorial Leader (4⋅30 students per week) |
For email contact, please use mpelz {at} umn.edu.